Buried treasure: Unlocking the secrets of medicinal mushrooms
p. 339
Emma L Walton DOI:10.4103/2319-4170.146538 PMID:25510923
In this issue of the Biomedical Journal, we investigate the potential of plants and fungi as a source of beneficial molecules for human health. We explore the weird and wonderful world of the mushroom and examine how Western medicine still has a lot to learn from Eastern practices dating back thousands of years. We also discuss a study further supporting claims that flaxseed, the plant kingdom's richest source of omega-3 fatty acids, can have lipid-lowering and fat-busting properties in the right physiological context. Finally, this issue also includes several validation studies of medical procedures or devices that define optimal conditions for their use in Asian populations.
Medicinal mushroom science: Current perspectives, advances, evidences, and challenges
p. 345
Solomon P Wasser DOI:10.4103/2319-4170.138318 PMID:25179726
The main target of the present review is to draw attention to the current perspectives, advances, evidences, challenges, and future development of medicinal mushroom science in the 21 st century. Medicinal mushrooms and fungi are thought to possess approximately 130 medicinal functions, including antitumor, immunomodulating, antioxidant, radical scavenging, cardiovascular, anti-hypercholesterolemic, antiviral, antibacterial, anti-parasitic, antifungal, detoxification, hepatoprotective, and antidiabetic effects. Many, if not all, higher Basidiomycetes mushrooms contain biologically active compounds in fruit bodies, cultured mycelium, and cultured broth. Special attention is paid to mushroom polysaccharides. The data on mushroom polysaccharides and different secondary metabolites are summarized for approximately 700 species of higher hetero- and homobasidiomycetes. Numerous bioactive polysaccharides or polysaccharide-protein complexes from the medicinal mushrooms described appear to enhance innate and cell-mediated immune responses, and exhibit antitumor activities in animals and humans. Whilst the mechanism of their antitumor actions is still not completely understood, stimulation and modulation of key host immune responses by these mushroom compounds appear central. Polysaccharides and low-molecular-weight secondary metabolites are particularly important due to their antitumor and immunostimulating properties. Several of the mushroom compounds have been subjected to Phase I, II, and III clinical trials, and are used extensively and successfully in Asia to treat various cancers and other diseases. Special attention is given to many important unsolved problems in the study of medicinal mushrooms.
Biomedical effects of mushrooms with emphasis on pure compounds
p. 357
R. Russell M Paterson, Nelson Lima DOI:10.4103/2319-4170.143502 PMID:25355390
Medicinal mushrooms show great promise for disease treatments. They have been employed in the Orient and Occident for thousands of years, although the practice has persisted in the East. They remain highly valuable. Authentic human trials and pure compounds are emphasized in this review of the most current literature. Polysaccharides from the fungi appear effective in cancer treatments and low-molecular-weight compounds also attract much interest. However, reports of toxicity must be taken seriously. Prescriptions for mushrooms and preparations need to be given by qualified medical practitioners. The reason why these preparations are not more widely used in the West is related to problems of (A) intellectual property rights, (B) mass production, and (C) obtaining pure compounds that retain activity. Mushroom compounds require testing against infectious diseases such as those caused by bacteria, because the current antibiotics are failing from resistances. Overall, the future is assured for medicinal mushrooms.
Zucchini (Zuc), a member of the phospholipase D (PLD) superfamily, is essential for the primary PIWI-interacting RNA (piRNA) biogenesis and the suppression of transposon expression, which are crucial for the genome integrity of germline cells. However, it has been ambiguous whether Zuc acts as a phosphodiesterase to produce phosphatidic acid (PA), the lipid signaling molecule, or as a nuclease. The recent three papers describing the crystal structures and functional analyses of fly and mouse Zuc proteins have elucidated that Zuc is a PLD family single-strand ribonuclease, not a phosphodiesterase, and functions in the maturation of primary piRNAs. This review will discuss in detail how the crystal structures clearly predict the function of Zuc, which is subsequently demonstrated by biochemical analysis to conclude the previous controversial discussion on the real function of Zuc.
Association of small dense lowdensity lipoprotein cholesterol in type 2 diabetics with coronary artery disease
p. 375
Ya-Ching Huang, Pi-Yueh Chang, Jawl-Shan Hwang, Hsiao-Chen Ning DOI:10.4103/2319-4170.132883 PMID:25179702
Background: The risk of coronary artery disease (CAD) increases two- to fourfold in diabetes. Small dense low-density lipoprotein (sdLDL) particles have been linked to an increased risk for CAD. In this study, we sought to compare the sdLDL cholesterol (sdLDL-C) level between the healthy control group and diabetics with CAD in the Taiwanese population.
Methods: Serum specimens were collected from healthy females and males of various age groups (n = 294), type 2 diabetics (DM) without complications (n = 113), and patients having DM with CAD (DM-CAD) (n = 46). The commercial kit was used for the measurement of sdLDL-C level, which employs a simpler method. After heparin-magnesium precipitation of lipoproteins with density <1.044 g/ml, sdLDL (density = 1.044-1.063 g/ml) remained in the supernatant and this sdLDL-C was measured using an automated chemistry analyzer.
Results: The sdLDL-C level was significantly higher in males than in females (p < 0.001) and there was an age effect on sdLDL-C (p < 0.001). The DM-CAD group had significantly higher sdLDL-C levels than the healthy control group (p < 0.001), but there was no statistical difference in the LDL-C level between DM-CAD group and the healthy control group. In addition, only individuals having both high LDL-C and sdLDL-C levels had a higher risk for DM-CAD, compared to those with low LDL-C levels and low sdLDL-C levels [Odds Ratio (OR) 4.97; 95% Confidence Interval (CI) 1.96-12.57; p = 0.001].
Conclusions: Our data suggest that the sdLDL-C level together with the LDL-C level are better risk assessment markers for type 2 diabetics with CAD than the LDL-C level alone.
Background:In this study, we evaluated the performance of a point-of-care device, the CoaguChek XS Plus system, in the determination of prothrombin time and international normalized ratio (INR) based on ISO17593: 2007 criteria in Taiwanese patients. The underlying clinical and genetic factors were also investigated.
Methods: Fifty patients receiving warfarin therapy were enrolled in this study. The accuracy of the CoaguChek XS Plus system was evaluated with linear regression analysis and bias plot by comparing with the data measured using Sysmex CA-1500. The clinical and genetic factors that may have caused a bias of 0.5 INR were evaluated with Fisher's exact test.
Results: From the 50 patients, 93 INR values were collected by each method. Linear regression analysis indicated a high correlation with r = 0.96, a slope of 1.05, and an intercept of - 0.14. Eight patients showed an INR bias 0.5 between the two methods. Only aspartate aminotransferase (AST) >34 U/L (3/8, 37.5% vs. 3/42, 7.1%; p = 0.044) and alanine aminotransferase (ALT) >36 U/L (3/8, 37.5% vs. 3/42, 7.1%; p = 0.044) were significantly different from each other. No differences were observed for hypoalbuminemia, elevated creatinine, anemia, and the polymorphisms of VKORC1 and CYP2C9.
Conclusions: The CoaguChek XS Plus system presented results that were comparable with those obtained using laboratory CA-1500 method. Both methods fell within INR in the range of 2-4.5 defined by ISO17593:2007 and the clinically recognized therapeutic INR range of 2-3.5. Elevated AST and ALT levels might have interfered with the INR results.
Background: Cardiovascular diseases (CVDs) are an increasing health problem all over the world. The search for natural hypolipidemic agents that can be used besides the synthetic drugs is still in its experimental stage. Plant seeds, particularly flaxseed (Linum usitatissimum), which is a rich source of n-3 fatty acids, lignans and phenolic compounds, have also received increasing attention for their potential role in preventing lipid disorders. The present study was undertaken to evaluate the therapeutic potential of flaxseeds in dyslipidemia.
Methods: The study included 50 dyslipidemic subjects selected by purposive random sampling and were divided into two groups, a control and an experimental group. Both the groups were prescribed similar dietary guidelines. Subjects in the experimental group received 30 g of roasted flaxseed powder for 3 months. Anthropometric parameters, blood pressure, and blood lipid profile were estimated before the study and after completion of the study.
Results: Flaxseed supplementation resulted in a remarkable improvement in anthropometric measurements, blood pressure, and lipid profile in the experimental group. Body weight and body mass index (BMI) of the experimental group were significantly reduced (p < 0.01). A lowering of systolic and diastolic blood pressure (p < 0.05) was also recorded in the dyslipidemic subjects. Concomitantly, a highly significant reduction (p < 0.01) in total cholesterol, triglycerides, low density lipoprotein-cholesterol (LDL-C), and very low density lipoprotein-cholesterol (VLDL-C) levels, with simultaneous elevation (p < 0.01) in high density lipoprotein-cholesterol (HDL-C) levels was observed. Improvement in lipid levels resulted in reduction of atherogenic indices.
Conclusions: The supplementation of roasted flaxseed powder for 3 months improved the BMI, blood pressure, and lipid profile of dyslipidemic subjects, thus exhibiting cardio protective effect.
Percutaneous ultrasound-guided renal biopsy in children: The need for renal biopsy in pediatric patients with persistent asymptomatic microscopic hematuria
p. 391
Mei-Ching Yu, Fan Lee, Wen-Hung Huang, Swei Hsueh DOI:10.4103/2319-4170.132878 PMID:25179699
Background: Percutaneous renal biopsy (PRB) is essential for the diagnosis, prognosis, and management of children with unknown kidney disease. In this study, the safety and efficacy of PRB is investigated, and also the common etiologies of childhood kidney disease, based on histological findings. In addition, we explored the role of PRBs in the diagnosis of children who presented with persistent asymptomatic hematuria.
Methods: By chart review, from July 2005 to July 2009, a total of 99 PRBs were performed on 91 children (43 girls and 48 boys; mean age, 10.9 ± 4.4 years) under ultrasound (US) guidance, by a doctor, using an automated 18-gauge biopsy needle following the same protocol, at a medical center in northern Taiwan.
Results: The accuracy of the histological diagnosis was excellent. The most common post-biopsy complications were perirenal hematoma (11.1%) and asymptomatic gross hematuria (3.0%), respectively. Nevertheless, these complications resolved spontaneously, and none had major bleeding episodes. Histological results showed that lupus nephritis, minimal change disease, and IgA nephropathy (IgAN) could be the current leading causes of childhood kidney diseases in Taiwan.
Conclusions: Automated ultrasound (US)-guided PRB is a safe and reliable method of assessing childhood renal disease. A recent study shows that the presence of persistent asymptomatic isolated microhematuria in adolescents is a predictive marker of future end-stage renal disease. Hence, the emphasis of renal biopsy on children with persistent asymptomatic hematuria is beneficial for the early diagnosis of IgAN or other glomerulonephritis (GN), which tends toward progressive kidney disease in adulthood without prompt therapeutic intervention.
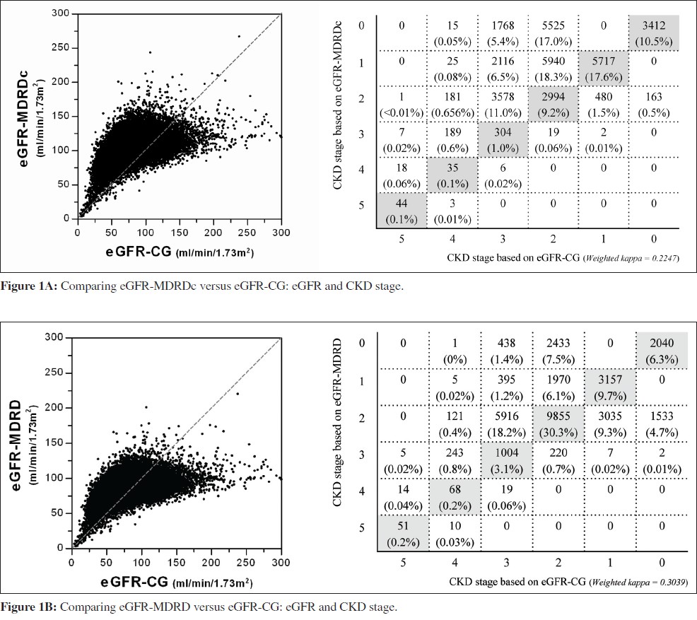
The chinese version of the modification of diet in renal disease (MDRD) equation is a superior screening tool for chronic kidney disease among middle-aged taiwanese than the original MDRD and Cockcroft-Gault equations
p. 398
Chang-Fu Kuo, Kuang-Hui Yu, Yu-Ming Shen, Lai-Chu See DOI:10.4103/2319-4170.132886 PMID:25179704
Background: Three equations have been often used to estimate glomerular filtration rate (GFR), namely, Modification of Diet in Renal Disease (MDRD), MDRD for Chinese (MDRDc), and Cockcroft-Gault (CG), for the purpose of screening individuals with chronic kidney disease (CKD). However, neither of these equations has been tested in a large Asian population. The aim of this study was to determine which equations were suitable for screening CKD in a large Taiwanese population.
Methods: The applicability of the three equations was analyzed among 32,542 participants of a health examination at Chang Gung Memorial Hospital (CGMH), Taiwan, between 2005 and 2007.
Results: Estimated glomerular filtration rate (eGFR)-MDRDc obtained the highest estimate of GFR (mean 101.5 ± 19.2 ml/min/1.73 m 2 ), followed by eGFR-MDRD (mean 83.8 ± 15.8 ml/min/1.73 m 2 ) and eGFR-CG (mean 79.4 ± 29.1 ml/min/1.73 m 2 ). The prevalence of CKD stage 3-5 was 1.9%, 5.1%, and 25.5% according to MDRDc, MDRD and CG equations, respectively. With respect to CKD staging, the agreement between eGFR-MDRDc and eGFR-CG (weighted kappa, k = 0.22) and that between eGFR-MDRD and eGFR-CG (weighted k = 0.30) was poor. Both the original MDRDc and MDRD indicated that subjects with risk factors for CKD had significantly lower eGFR and higher odds ratios for stage 3-5 disease than those without. Paradoxically, the mean eGFR-CG (or odds ratios) was higher (or lower) in subjects with hyperuricemia, hypertension, obesity, or metabolic syndrome than those without these risk factors.
Conclusions: The use of the CG equation in the Taiwanese population is inappropriate for screening individuals with CKD, and the MDRDc equation seems to be better for Taiwanese population.
Functional outcomes of uni-knee arthroplasty for medial compartment knee arthropathy in asian patients
p. 406
To Wong, Ching-Jen Wang, Jun-Wen Wang, Jih-Yang Ko DOI:10.4103/2319-4170.132877 PMID:25179698
Background: Uni-knee arthroplasty (UKA) has shown better knee kinematics and motion that may better suit the activities of daily living in Eastern countries. The purpose of this study was to evaluate the functional outcomes of UKA for medial compartment knee arthropathy in Asian patients.
Methods: The study cohort consisted of 48 patients with 51 UK A knees. Only one type of prosthesis was used and all components were cemented. Postoperative management included ambulation with weight bearing, range of motion, and muscle strengthening exercises as tolerated until full recovery. The average follow-up was 52.0 ± 24.0 (range 12-92) months. The evaluation included functional assessment, the Knee Society knee and functional scores, the International Knee Document Committee (IKDC) subjective and objective scores, and radiographs of the knee.
Results: The overall clinical outcomes of the knee showed the functional outcome of the knee to be normal in 51%, nearly normal in 37%, abnormal in 8%, and severely abnormal in 4%. The functional activities included stair climbing in 96%, squatting in 76%, jogging in 71% and kneeling in 47%. Three-quarters of the patients were able to kneel for daily activities. Approximately 98% of the patients were satisfied with the operation. The survivorship of the prosthesis was 98% with one revision pending. Radiographic evaluations revealed the components were centered in 82% and off-centered in 18%. Osteoarthritis was 22% preoperative and 27% postoperative for the patellofemoral compartment, and 0% before and 4% after surgery for the lateral compartment. The functional outcomes showed no difference between patients with and without patellofemoral arthritis. The complications included one component malposition and one knee pain of undetermined origin.
Conclusions: UKA provides excellent pain relief and restoration of knee function including kneeling, squatting, and sit-to-stand activities that perfectly fit the oriental lifestyle and high patient satisfaction in Asian patients at medium-term follow-up. The complications were rare and the survival rate was 98% at medium-term follow-up.
Although conventional antibiotic susceptibility tests are most commonly performed for methicillin-resistant Staphylococcus aureus (MRSA), the results of these phenotypic tests are dependent on the standardization of the culture conditions. The aim of the study was to evaluate the conventional phenotypic screening tests in comparison to the mecA gene polymerase chain reaction (PCR). One hundred and two clinical isolates of MRSA identified by the oxacillin disk diffusion were subjected to PCR for the mecA gene and by the cefoxitin disk diffusion test and culture on oxacillin screen agar, mannitol salt agar, and methicillin-resistant Staphylococcus aureus Agar (MeReSA) selective medium, for MRSA. Although all 102 isolates were resistant in oxacillin and cefoxitin disk diffusion, 92 (90.1%) isolates were positive for the mecA gene. The sensitivities of the mannitol salt agar, MeReSA agar, and oxacillin screen agar were 89.13, 97.82, and 98.91%, respectively. The oxacillin screen agar may be recommended for confirming methicillin resistance in the disk diffusion test in resource-poor settings, where molecular methods are not available.
The impact factor (IF) of an journal is a measure reflecting the average number of citations to recent articles published in the journal. It is frequently used as a proxy for the relative importance of a journal within its field, with journals with higher impact factors deemed to be more important than those with lower ones. However it is not a perfect metric and has its own limitations. Journals are increasingly finding new ways to improve their impact factor by increasing self citation, publishing more review articles. This correspondence discuss the fallacies of the impact factor.